1. taiebook.pages.dev
  2. ///

Đề Thi Thử Tốt Nghiệp THPT Năm 2023 Môn Sinh Học Online-Đề 5

Đề Kiểm Tra: Đề Thi Thử Tốt Nghiệp THPT Năm 2023 Môn Sinh Học Online-Đề 5

Câu 1:

Ở sinh vật nhân thực, quá trình nào sau đây không xảy ra trong nhân tế bào?

Câu 2:

Những cây thuộc nhóm thực vật CAM là

Câu 3:

Trong cấu trúc siêu hiển vi của NST sinh vật nhân thực, mức xoắn có đường kính 11 nm được gọi là

Câu 4:

Đặc điểm nào dưới đây không có ở cơ quan tiêu hóa của thú ăn thịt?

Câu 5:

Trong thí nghiệm lai hai dòng thuần chủng đều có hoa trắng với nhau, kết quả thu được F1 toàn cây hoa đỏ. Cho các cây F1 tự thụ phấn thu được F2 với tỉ lệ kiểu hình 9 cây hoa đỏ : 7 cây hoa trắng. Sự di truyền màu sắc hoa tuân theo quy luật

Câu 6:

Phép lai nào sau đây thường được sử dụng để tạo ra ưu thế lai?

Câu 7:

Diễn biến nào dưới đây không có trong pha sáng của quá ttình quang hợp?

Câu 8:

Nước và các ion khoáng đi từ đất vào mạch gỗ của rễ theo những con đường nào?

Câu 9:

Động vật nào sau đây chỉ tiêu hóa nội bào?

Câu 10:

Thành phần nào sau đây không tham gia vào quá trình phiên mã?

Câu 11:

Nhóm động vật nào sau đây hô hấp bằng mang?

Câu 12:

Chất nhận CO2 trong chu trình Canvil là

Câu 13:

Phương pháp nào sau đây có thể tạo ra được nhiều con vật có kiểu gen giống nhau từ một phôi ban đầu?

Câu 14:

Trong cấu trúc của opêron Lac ở vi khuẩn E. Coli, vùng khởi động (promoter) là

Câu 15:

Đối tượng được Moocgan sử dụng trong thí nghiệm của mình để phát hiện quy luật di truyền liên kết gen là gì?

Câu 16:

Khi nói về nguyên tố dinh dưỡng khoáng thiết yếu trong cây, những phát biểu nào sau đây đúng?I. Là những nguyên tố mà thiếu nó cây không hoàn thành được chu trình sống.II. Có thể thay thế bởi các nguyên tố khác khi chúng có tính chất hóa học tương tự.III. Là những nguyên tố trực tiếp tham gia vào quá trình chuyển hóa vật chất trong cơ thể.IV. Chỉ gồm những nguyên tố đại lượng: C, H, O, N, P.

Câu 17:

Ở một loài thực vật, alen A quy định thân cao, alen a quy định thân thấp; alen B quy định quả đỏ, alen b quy định quả vàng. Hai cặp gen này thuộc cùng một cặp NST thường và liên kết hoàn toàn. Xác định số phép lai có thể tạo ra F1 có hai loại kiểu hình phân li theo tỉ lệ 3 : 1 (không xét phép lai nghịch)

Câu 18:

Một loài động vật lưỡng bội, xét một gen có 2 alen (A, a) nằm trên NST thường, số loại kiểu gen tối đa trong quần thể là

Câu 19:

Ở ngô có 2n = 20 NST. Giả sử có một thể đột biến, trong đó cặp NST số 7 có 1 chiếc bị mất đoạn, cặp NST số 9 có 1 chiếc bị lặp 1 đoạn. Khi giảm phân nếu các cặp NST phân li bình thường thì trong số các loại giao tử được tạo ra, giao tử mang đột biến có tỉ lệ

Câu 20:

Ở người, alen A nằm trên NST X quy định máu đông bình thường là trội hoàn toàn so với alen a quy định bệnh máu khó đông. Biết không xảy ra đột biến. Theo lí thuyết, cặp bố mẹ nào sau đây chắc chắn sẽ không có con bị bệnh máu khó đông?

Câu 21:

Biết các bộ ba trên mARN mã hoá các axit amin tương ứng như sau: 5'XGA3' mã hoá Acginin;5'UXG3' và 5'AGX3' mã hoá Xerin; 5'GXU3' mã hoá Alanin. Biết trình tự các nuclêôtit ở một đoạn trên mạch gốc của vùng mã hoá ở một gen cấu trúc của sinh vật nhân sơ là 5'GXTTXGXGATXG3'. Đoạn gen này mã hoá cho 4 axit amin, theo lí thuyết trình tự các axit amin trong chuỗi pôlipeptit tương ứng đươc tổng hợp từ đoạn gen này là:

Câu 22:

Nuôi cấy hạt phấn của một cây lưỡng bội có kiểu gen Aabb để tạo nên các mô đơn bội. Sau đó xử lí các mô đơn bội này bằng cônsixin gây lưỡng bội hóa và kích thích chúng phát triển thành cây hoàn chỉnh. Các cây này có kiểu gen là

Câu 23:

Một chu kỳ tim của người trưởng thành bình thường là 0,8 giây, thời gian các pha của chu kì tim có tỉ lệ lần lượt là 1: 3 : 4. Trong một phút, thời gian tâm nhĩ được nghỉ ngơi là bao nhiêu giây?

Câu 24:

Cho biết alen A quy định thân cao trội hoàn toàn so với alen a quy định thân thấp; alen B quy định hoa đỏ trội hoàn toàn so với alen b quy định hoa trắng. Kiểu gen nào sau đây quy định kiểu hình thân cao, hoa đỏ?

Câu 25:

Khi nói về mối quan hệ giữa huyết áp, tiết diện mạch máu và vận tốc máu, phát biểu nào sau đây sai?

Câu 26:

Ở người, khi cơ thể mất nước do toát mồ hôi nhiều thì sẽ dẫn đến hiện tượng nào sau đây?

Câu 27:

Phát biểu nào sau đây là đúng khi nói về công nghệ gen?

Câu 28:

Một quần thể sinh vật có tần số A là 0,4. Nếu quần thể ở trạng thái cân bằng di truyền thì tỉ lệ kiểu gen là:

Câu 29:

Đặc điểm nào sau đây không phải của quần thể thực vật tự thụ phấn?

Câu 30:

Ở một loài thực vật, alen A quy định thân cao trội hoàn toàn so với alen a quy định thân thấp; alen B quy định hoa đỏ trội hoàn toàn so với alen b quy định hoa trắng; alen D quy định quả tròn trội hoàn toàn so với alen quy định quả dài, quá trình giảm phân không xảy ra đột biến. Phép lai P: AaBbDd \( \times \) AaBbDd thu được F1. Theo lí thuyết, lấy một cá thể thân cao, hoa đỏ, quả tròn ở F1, xác suất thu được cá thể thuần chủng là bao nhiêu?

Câu 31:

Ở một loài thực vật, alen A quy định lá nguyên trội hoàn toàn so với alen a quy định lá xẻ; alen B quy định hoa đỏ trội hoàn toàn so với alen b quy định hoa trắng. Cho cây lá nguyên, hoa đỏ giao phấn với cây lá nguyên, hoa trắng (P), thu được F1 gồm 4 loại kiểu hình trong đó có 16% số cây lá xẻ, hoa trắng. Biết rằng không xảy ra đột biến. Theo lí thuyết, phát biểu nào sau đây đúng?

Phương pháp:P dị hợp 1 cặp gen: Aa, Bb \( \times \) Aa, bb: A-B- = 0,25 + aabb; A-bb = 0,5 – aabb; aaB – = 0,25 – aabb Bước 1: Xác định quy luật di truyền.Bước 2: Tính tần số HVG + Tính aabb \( \to \) ab \( \to \) f.Bước 3: Viết tỉ lệ giao tử \( \to \) Xét các phát biểu.Cách giải:F1 có 4 loại kiểu hình \( \to \) P đều mang alen a và b: (Aa; Bb) \( \times \) (Aa, bb)Tỉ lệ lá xẻ, hoa trắng: aabb= 0,16\( \to \)2 gen nằm trên cùng 1 NST, có hoán vị gen xảy ra aabb = 0,16 = 0,5 \( \times \) 0,32 \( \to \) Cây dị hợp 2 cặp gen cho ab =0,32 là giao tử liên kết.\( \to \) P: AB/ab cho giao tử ab =(1-f)/2 =0,32 \( \to \) f = 36%.\(P:\frac{{AB}}{{ab}} \times \frac{{Ab}}{{ab}};f = {\text{ }}16\% {\text{ }} \to \left( {0,32AB:{\text{ }}0,32ab:{\text{ }}0,18Ab:{\text{ }}0,18aB} \right)(0,5Ab:0,5ab)\) Xét các phát biểu:A sai, khoảng cách giữa các gen là 36cM.B sai, cây lá nguyên hoa trắng thuần chủng: \(\frac{{Ab}}{{Ab}} = {\text{ }}0,18Ab \times 0,5Ab = 0,09\) C sai, cây lá xẻ hoa đỏ: \(\frac{{aB}}{{ab}} = {\text{ }}0,18aB \times 0,5ab = {\text{ }}0,09\) D đúng, cây lá xẻ hoa đỏ có kiểu gen: aB/ab.
Câu 32:

Một loài động vật có 4 cặp NST được kí hiệu là Aa, Bb, Dd và Ee. Trong các cơ thể có bộ NST sau đây, có bao nhiêu thể ba?I. AaaBbDdEe. II. ABbDdEe. III. AaBBbDdEe.IV AaBbDdEe. V. AaBbDdEEe. VI. AaBbDddEe.

Thể ba có dạng 2n + 1 = 9NST (thừa 1 NST ở 1 cặp NST nào đó). Các kiểu gen thể ba là: I, III, V, VI.
Câu 33:

Một quần thể thực vật giao phấn ngẫu nhiên, alen lặn đột biến a làm cho cây chết ở giai đoạn còn non; alen trội A quy định khả năng sống, khả năng sinh trưởng và phát hiển bình thường của cây. Xét một locut gen khác, alen B quy định hoa màu đỏ trội hoàn toàn so với alen b quy định hoa màu trắng. Biết rằng hai cặp gen này nằm trên 2 cặp NST thường khác nhau. Ở thế hệ F1 của quần thể người ta thấy 48,96% cây sống sót cho hoa màu đỏ; 47,04% cây sống sót cho hoa màu trắng. Biết rằng quần thể này cân bằng di truyền đối với gen quy định màu sắc hoa và không có đột biến mới phát sinh. Tính theo lý thuyết, có bao nhiêu phát biểu sau đây không đúng?I. Tỉ lệ cây thuần chủng về cả 2 cặp gen trên có trong quần thể ở thế hệ trước đó là 34,8%.II. Tỉ lệ kiểu gen dị hợp 2 cặp ở đời con F1 là 13,44%.III. Tỉ lệ kiểu hình tại thời điểm P của quần thể này là 30,6% cây hoa màu đỏ : 69,4% cây hoa màu trắng.IV. Tỉ lệ cây hoa đỏ thuần chủng trên tổng số cây hoa đỏ tại thời điểm P là 10,588%

Phương pháp:Bước 1: Tính tần số alen + Tính tỉ lệ cây bị chết \( \to \) alen a \( \to \) A + Dựa vào tỉ lệ A-B- \( \to \) tần số alen b \( \to \) B Bước 2: Tìm cấu trúc di truyền ở P.Bước 3: Xét các phát biểu.Cách giải:- Số cây sống sót = 48,96% + 47,04% = 96% \( \to \) Cây bị chết ở giai đoạn còn non (aaB- + aabb) = 0,04 \( \to \) aa = 0,04 \( \to \) a = 0,2; A = 0,8 \( \to \) A- = 0,96Số cây sống sót cho hoa đỏ (A-B-) = A- \( \times \) B- = 0,4896 \( \to \) B- = 0,4896 : 0,96 = 0,51; bb = 0,49 \( \to \) b = 0,7; B = 0,3Số cây P sống sót và có khả năng sinh sản tạo ra F1 là (xAA : yAa)(0,09BB : 0,42Bb : 0,49bb).Ta có y/2 = 0,2 (tần số alen a) \( \to \) y = 0,4 \( \to \) P: (0,6AA : 0,4Aa)(0,09BB : 0,42Bb : 0,49bb).I đúng. Số cây thuần chủng về 2 cặp gen ở P = 0,6AA(0,09BB + 0,49bb) = 0,348.II đúng. Tỉ lệ kiểu gen dị hợp 2 cặp ở đời con F1 (AaBb) = 0,32Aa \( \times \) 0,42Bb = 13,44%III sai. Tỉ lệ kiểu hình tại thời điểm P của quần thể này là 51% hoa đỏ : 49% hoa trắng.IV Đúng. Tỉ lệ cây hoa đỏ thuần chủng trên tổng số cây hoa đỏ tại thời điểm \(P = \frac{{0,6 \times 0,09}}{{0,51}} = 0,10588\)
Câu 34:

Xét phép lai: (P): Đề Thi Thử Tốt Nghiệp THPT Năm 2023 Môn Sinh Học Online-Đề 5 AaBbDdee \( \times \) Đề Thi Thử Tốt Nghiệp THPT Năm 2023 Môn Sinh Học Online-Đề 5 AabbDdEe. Trong quá trình giảm phân ở cơ thể đực, ở 10% tế bào sinh tinh có hiện tượng NST kép mang alen D không phân li trong giảm phân II, các cặp NST khác phân li bình thường. Trong quá trình giảm phân của cơ thể cái, ở 20% tế bào sinh trứng có hiện tượng NST kép mang alen d không phân li trong giảm phân II. Các cặp NST khác phân li bình thường. Biết rằng các giao tử đều có sức sống và khả năng thụ tinh như nhau. Trong các nhận định sau, có bao nhiêu nhận định đúng?I. Số kiểu gen tối đa thu được ở đời con là 132.II Có tối đa 36 kiểu gen của các thể ba.III. Tỉ lệ kiểu gen AAbbDDEe ở đời con là 1,414%.IV. Tỉ lệ của các loại đột biến thể ba thu được ở đời con là 6,875%.

Phương pháp:Xét từng cặp gen Aa, Bb, Ee.Cặp Dd xét riêng tỉ lệ giao tử ở 2 giới.Cách giải:(P): Đề Thi Thử Tốt Nghiệp THPT Năm 2023 Môn Sinh Học Online-Đề 5AaBbDdee \( \times \) Đề Thi Thử Tốt Nghiệp THPT Năm 2023 Môn Sinh Học Online-Đề 5AabbDdEe Ta có các tổ hợp giao tử như sau:Aa \( \times \) Aa \( \to \) 1/4AA:1/2Aa:1/4aa \( \to \) 3 kiểu gen.Bb \( \times \) bb \( \to \) 1/2Bb:1/2bb \( \to \) 2 kiểu gen.Ee \( \times \) ee \( \to \) 1/2Ee:1/2ee \( \to \) 2 kiểu gen.Xét cặp Dd:Giới đực: có 10% tế bào rối loạn ở GP II, tạo ra giao tử DD = O = 0,025; d = 0,05 Các tế bào bình thường GP cho 0,45D:0,45d \( \to \) (0,025DD:0,025O:0,5d:0,45D)Giới cái: có 20% tế bào rối loạn ở GPII, tạo ra giao tử dd = O = 0,05; D = 0,1 Các tế bào khác tạo ra 0,4D; 0,4d \( \to \) (0,05dd:0,05O:0,5D:0,4d)Số kiểu gen bình thường là :3Số kiểu gen đột biến là 8 (DDdd; DDd; ddd; Ddd;D, d, DDD; O)I đúng. Vì số kiểu gen tối đa ở đời con là: 3\( \times \)2\( \times \)2\( \times \)11=132II sai. Vì cá thể đột biến thể ba có số kiểu gen là: 3\( \times \)2\( \times \)2\( \times \)4=48III đúng. Vì: Tỉ lệ kiểu gen AAbbDDEe ở đời con là:0,25AA\( \times \)0,5bb\( \times \)(0,025DD\( \times \)0,05O+0,45D\( \times \)0,5D)\( \times \)0,5Ee = 1,41%IV sai. Vì: Tỉ lệ của các loại đột biến thể ba thu được ở đời con cũng chính là tỉ lệ số giao tử chứa 3 alen của gen d: tỷ lệ kiểu gen DDd+ddd+Ddd+DDD = 0,025DD\( \times \)(0,4+0,1)d + 0,05dd\( \times \)(0,05 +0,45)d + 0,05dd\( \times \)0,45D+0,025DD\( \times \)0,4D = 0,07
Câu 35:

Khi nói về hô hấp sáng ở thực vật, có bao nhiêu phát biểu sau đây đúng?I. Hô hấp sáng là quá trình hấp thụ O2 và thải CO2 ở ngoài sáng.II. Hô hấp sáng gây tiêu hao sản phẩm quang hợp.III. Hô hấp sáng thường xảy ra ở thực vật C4 và CAM trong điều kiện cường độ ánh sáng cao. IV. Quá trình hô hấp sáng xảy ra lần lượt ở các bào quan: lục lạp, peroxixom, ti thể.

Phương pháp:Hô hấp sáng+ Các bào quan: Lục lạp \( \to \) Peroxixom \( \to \) ti thể+ Hô hấp sáng là quá trình hấp thụ O2 và giải phóng CO2 khi có ánh sáng mạnh, khi có nồng độ O2 cao. + Gây lãng phí sản phẩm quang hợp mà không tạo ATP + Thường xảy ra ở thực vật C3.Cách giải:Phát biểu sai về hô hấp sáng là: III, hô hấp sáng thường xảy ra ở thực vật C3. Vậy có 3 phát biểu đúng.
Câu 36:

Khi nói về cơ chế di truyền ở sinh vật nhân thực, có bao nhiêu phát biểu sau đây đúng?I. Các gen trong một tế bào luôn có số lần phiên mã bằng nhau.II. Quá trình phiên mã luôn diễn ra đồng thời với quá trình nhân đôi ADN.III. Thông tin di truyền trong ADN được truyền từ tế bào này sang tế bào khác nhờ cơ chế nhân đôi ADN. IV. Quá trình dịch mã có sự tham gia của mARN, tARN và rARN.

I sai, số lần phiên mã phụ thuộc vào nhu cầu sản phẩm của gen đó.II sai, quá trình phiên mã và nhân đôi ADN không diễn ra đồng thời.III đúng.IV đúng.
Câu 37:

Ở Ngô, tính trạng chiều cao cây do 3 cặp gen Aa, Bb và Dd nằm trên 3 cặp NST thường khác nhau tương tác theo kiểu cộng gộp quy định. Trong đó cứ có thêm một alen trội thì cây cao thêm 10 cm. Cây thấp nhất có độ cao 100 cm. Cho cây thấp nhất giao phấn với cây cao nhất (P) tạo ra F1, F1 tự thụ phấn thu được F2. Biết không xảy ra hiện tượng đột biến. Theo lí thuyết, có bao nhiêu phát biểu sau đây đúng về kết quả ở F2?I. Loại cây có chiều cao 130 cm chiếm tỉ lệ lớn nhất.II. Có 6 loại kiểu gen quy định cây có chiều cao 140 cm.III. loại cây có chiều cao 150 cm và 110 có tỉ lệ bằng nhau.IV. Ở F2, loại cây cao nhất chiếm tỉ lệ 1/64.

Phương pháp:Áp dụng công thức tính tỷ lệ kiểu hình chứa a alen trội \(\frac{{C_m^a}}{{{2^m}}}\) trong đó m là số cặp gen dị hợpCách giải:P: Cây cao nhất \( \times \) cây thấp nhất: AABBDD \( \times \) aabbdd \( \to \) F1: AaBbDd \( \times \) aBbDd.I đúng, cây cao 130 cm có \(\frac{{130 – 100}}{{10}} = 3\) alen trội \( \to \) Chiếm tỉ lệ: \(\frac{{C_6^3}}{{{2^6}}} = \frac{{20}}{{64}}\) II đúng, cây cao 140 cm có \(\frac{{140 – 100}}{{10}} = 4\) alen trội \( \to \) gồm các kiểu gen: AABBdd; AAbbDD; aaBBDD; AaBbDD; AABbDd, AaBBDd.III đúng, cây cao 150 cm có \(\frac{{150 – 100}}{{10}} = 5\) alen trội \( \to \)chiếm tỉ lệ: \(\frac{{C_6^5}}{{{2^6}}} = \frac{6}{{64}}\) Cây cao 110 cm có \(\frac{{110 – 100}}{{10}} = 1\) alen trội \( \to \) chiếm tỉ lệ:\(\frac{{C_6^1}}{{{2^6}}} = \frac{6}{{64}}\) IV đúng, cây cao nhất có 6 alen trội \( \to \) chiếm tỉ lệ:\(\frac{{C_6^6}}{{{2^6}}} = \frac{1}{{64}}\)
Câu 38:

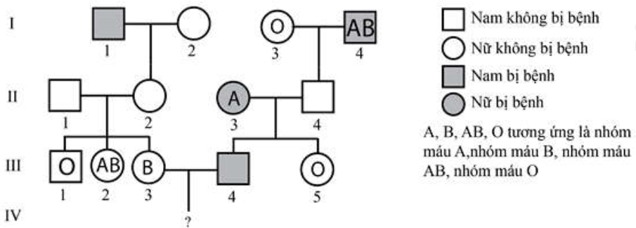
Ở người gen quy định nhóm máu có 3 alen nằm trên nhiễm sắc thể thường, trong đó kiểu gen IAIA và IAIO đều quy định nhóm máu A; kiểu gen IBIB và IBIO đều quy định nhóm máu B; kiểu gen IAIB quy định nhóm máu AB; kiểu gen IOIO quy định nhóm máu O. Bệnh mù màu do một gen có 2 alen quy định, trội hoàn toàn và nằm trên vùng không tương đồng của nhiễm sắc thể X. Cho sơ đồ phả hệĐề Thi Thử Tốt Nghiệp THPT Năm 2023 Môn Sinh Học Online-Đề 5Biết rằng không phát sinh đột biến mới ở tất cả mọi người trong phả hệ. Theo lí thuyết, có bao nhiêu phát biểu sau đây đúng?I. Xác định được tối đa kiểu gen của 4 người trong phả hệ.II. III1 và III5 có kiểu gen giống nhau.III. II2 và II4 có thể có nhóm máu A hoặc B.IV. Cặp vợ chồng III3 – III4 sinh con nhóm máu O và không bị bệnh với xác suất 3/16.

Phương pháp:Bước 1: Quy ước genBước 2: Xác định kiểu gen của những người trong phả hệ Bước 3: Xét các phát biểu.Cách giải:H- không bị bệnh; h – bị bệnh Xác định kiểu gen:I(1):XhY (2)XHX-(3)XhX-IOIO(4):XhYIAIBII(1)xhy(2): XHXh(3): XhXhIAIO(4):XHYIII(1): XHYIOIO (2): XHX-IAIB (3):XHX-IBIO(4): XhY(5)XhXh IOIOIđúng, xác định được kiểu gen của tối đa 4 ngườiII sai, giới tính của họ khác nhau nên kiểu gen sẽ khác nhau III đúng.IV đúng,Người II4 chắc chắn mang IOI \( \times \) II3: IAIO để sinh con nhóm máu O thì III4 phải mang IO với xác suất 3/4III4: 1IOIO: 2IOI- \( \times \) Người III3: IBIO \( \leftrightarrow \) (2IO:1I) \( \times \) (IO: IB) \( \to \) Nhóm máu O: \(\frac{3}{4} \times \frac{2}{3} \times \frac{1}{2} = \frac{1}{4}\)Xét bệnh mù màuNgười III3 có thể có kiểu gen XHXH: XHXh \( \times \) III4: XhY \( \leftrightarrow \) (3XH:1Xh)(Xh:Y) \( \to \) 3/4 không bị bệnh Xác suất cần tính là 1/4 \( \times \) 3/4 = 3/16.
Câu 39:

Một loài động vật, khi lai hai cơ thể có kiểu hình mắt trắng với nhau thu được ở đời con đồng loạt mắt đỏ. Cho lai phân tích con cái F1 người ta thu được 25% con đực mắt đỏ: 25% con đực mắt trắng: 50% con cái mắt trắng. Cho các con F1 lai với nhau thu được F2.Theo lý thuyết, có bao nhiêu phát biểu sau đây đúng?I. Ở loài động vật này, con đực thuộc giới dị giao tử.II. Trong số các con mắt đỏ ở F2, tỉ lệ con đực là 2/3.III. Trong số các con cái thu được ở F2, tỉ lệ con mắt đỏ là 37,5%. IV. Trong số các con mắt trắng thu được ở F2, tỉ lệ con đực là 2/7.

Phương pháp:Bước 1: Biện luận quy luật di truyền, bộ NST giới tính ở 2 giới Bước 2: Xác định kiểu gen F1Bước 3: Viết phép lai F1 \( \times \) F1 \( \to \) F2 \( \to \) Xét các phát biểu.Cách giải:Ta thấy P mắt trắng \( \to \) F1 toàn mắt đỏ \( \to \) có tương tác gen, P thuần chủng.Lai phân tích con cái F1\( \to \)3:1;tỉ lệ kiểu hình ở 2 giới khác nhau\( \to \)1 trong 2 gen nằm trên NST X. P: AAXbY \( \times \) aaXBXB \( \to \) Aa(XBXb:XBY)Lai phân tích con cái F1 \( \to \) con cái 100% mắt trắng nên con cái phải là XbY \( \to \) con đực XX, con cái XY.F1 \( \times \) F1: AaXBXb \( \times \) AaXBY \( \to \) (1AA:2Aa:1aa)(1XBXB:1XBXb:1XBY:1XbY) I sai, con đực là giới đồng giao tửII đúng, mắt đỏ F2 chiếm: \(\frac{3}{4}\left( {AA;Aa} \right) \times \frac{3}{4}\left( {{X^B} – } \right) = \frac{9}{{16}}\) Con đực mắt đỏ: \(\frac{3}{4}\left( {AA,Aa} \right) \times \frac{1}{2}{X^B}{X^ – } = \frac{3}{8}\) \( \to \)Trong số các con mắt đỏ ở F2, tỉ lệ con đực là 2/3.III đúng, con cái chiếm 50%; con cái mắt đỏ: \(\frac{3}{4}\left( {A – } \right) \times \frac{1}{4}{X^B}Y = \frac{3}{{16}}\) \( \to \)Trong số các con cái thu đươc ở F2, tỉ lệ con mắt đỏ là \(\frac{{3/16}}{{0,5}} = 37,5\% \) IV đúng, tỉ lệ con mắt trắng = 1 – mắt đỏ = 7/16.Con đực mắt trắng = aaXBX- = 0,25aa \( \times \) 0,5 = 0,125 \( \to \) Trong số các con mắt trắng thu được ở F2, tỉ lệ con đực là 2/7.
Câu 40:

Một loài động vật, tính trạng màu lông do gen nằm trên NST giới tính X quy định, tính trạng chiều cao do gen nằm trên NST thường quy định, tính trạng kháng một loại thuốc do gen nằm trong ty thể quy định. Chuyển nhân từ tế bào của một con đực A có màu lông vàng, chân cao, kháng thuốc vào tế trứng đã đã loại bỏ nhân của cơ thể cái B có màu lông đỏ, chân thấp, không kháng thuốc tạo được tế bào chuyển nhân C. Nếu tế bào C phát triển thành cơ thể thì kiểu hình của cơ thể này là

Phương pháp:Tính trạng do gen ngoài nhân quy định sẽ di truyền theo dòng mẹ.Cách giải:Chuyển nhân từ tế bào xoma con đực A : lông vàng, chân cao, kháng thuốc vào tế bào trứng mất nhân của cơ thể cái B lông đỏ, chân thấp, không kháng thuốc được tế bào CTế bào C gồm : nhân A : đực, lông vàng, chân cao + tế bào chất (chứa ti thể) B không kháng thuốc Kiểu hình cá thể C là : đực, lông vàng, chân cao, không kháng thuốc

Các lựa chọn đã được chọn:

Kết quả: 

  • Câu 1
  • Câu 2
  • Câu 3
  • Câu 4
  • Câu 5
  • Câu 6
  • Câu 7
  • Câu 8
  • Câu 9
  • Câu 10
  • Câu 11
  • Câu 12
  • Câu 13
  • Câu 14
  • Câu 15
  • Câu 16
  • Câu 17
  • Câu 18
  • Câu 19
  • Câu 20
  • Câu 21
  • Câu 22
  • Câu 23
  • Câu 24
  • Câu 25
  • Câu 26
  • Câu 27
  • Câu 28
  • Câu 29
  • Câu 30
  • Câu 31
  • Câu 32
  • Câu 33
  • Câu 34
  • Câu 35
  • Câu 36
  • Câu 37
  • Câu 38
  • Câu 39
  • Câu 40

Đáp án: Đề Thi Thử Tốt Nghiệp THPT Năm 2023 Môn Sinh Học Online-Đề 5

Đáp án câu 1:
A
Dịch mã
Đáp án câu 2:
B
ngô, mía.
Đáp án câu 3:
C
cromatit.
Đáp án câu 4:
D
Răng nanh phát triển.
Đáp án câu 5:
B
tương tác bổ sung.
Đáp án câu 6:
A
Lai tế bào sinh dưỡng.
Đáp án câu 7:
C
Quá trình khử CO2.
Đáp án câu 8:
B
Con đường tế bào chất và con đường gian bào.
Đáp án câu 9:
A
Trùng roi.
Đáp án câu 10:
C
ADN pôlimeraza.
Đáp án câu 11:
B
Giun đất, giun dẹp, chân khớp.
Đáp án câu 12:
D
ATP, NADPH.
Đáp án câu 13:
D
Gây đột biến nhân tạo.
Đáp án câu 14:
D
những trình tự nuclêôtit mang thông tin mã hoá cho phân tử protein ức chế.
Đáp án câu 15:
B
Ruồi giấm.
Đáp án câu 16:
A
I, III.
Đáp án câu 17:
B
9
Đáp án câu 18:
C
3.
Đáp án câu 19:
C
75%.
Đáp án câu 20:
D
XAXa \( \times \) XaY.
Đáp án câu 21:
B
Acginin - Xêrin - Acginin - Xêrin.
Đáp án câu 22:
D
Aabb, abbb.
Đáp án câu 23:
B
37,5.
Đáp án câu 24:
B
AaBb.
Đáp án câu 25:
D
Trong hệ mạch, mao mạch có tổng tiết diện mạch lớn nhất nên huyết áp thấp nhất.
Đáp án câu 26:
A
Áp suất thẩm thấu của máu giảm và huyết áp tăng.
Đáp án câu 27:
A
Các gen đánh dấu được gắn sẵn vào thể truyền để tạo ra được nhiều sản phẩm hơn trong tế bào nhận.
Đáp án câu 28:
C
0,16 AA : 0,48 Aa : 0,36 aa.
Đáp án câu 29:
C
Hạt phấn của cây nào thụ phấn cho hoa của chính cây đó.
Đáp án câu 30:
D
1/2.
Đáp án câu 31:
D
F1 có 1% số cây lá nguyên, hoa trắng thuần chủng.
Đáp án câu 32:
B
3.
Đáp án câu 33:
A
3
Đáp án câu 34:
B
2.
Đáp án câu 35:
C
4.
Đáp án câu 36:
C
2
Đáp án câu 37:
D
2.
Đáp án câu 38:
D
1.
Đáp án câu 39:
D
4.
Đáp án câu 40:
B
cá thể đực, lông vàng, chân cao, kháng thuốc.

Xem thêm: Đáp án Đề Thi Thử Tốt Nghiệp THPT Năm 2023 Môn Sinh Học Online-Đề 5 mới nhất.

TaiEbook.vn là nền tảng chia sẻ tài liệu học tập và sách PDF miễn phí, hỗ trợ học sinh, sinh viên và giáo viên tiếp cận kho tri thức chất lượng. Website cung cấp đa dạng tài liệu từ giáo trình, đề thi, bài giảng đến sách tham khảo thuộc nhiều cấp học và lĩnh vực khác nhau. Tất cả nội dung đều được định dạng PDF, dễ dàng tải về và sử dụng mọi lúc, mọi nơi. Giao diện thân thiện, thao tác nhanh chóng, không cần đăng ký tài khoản. TaiEbook.vn – nơi học tập dễ dàng bắt đầu chỉ với một cú click!

Về chúng tôi